Эта стратегия с которой я начинал торговать и хочу поделиться с вами друзья. Стратегия очень простая в ней нет каких то замутов и Вы сможете ее освоить за пару месяцев я думаю... Все зависит от вашего опыта на рынке, но мне кажется, что даже новичок разберется как с ней работать. Вас никто никогда не научит торговать на форекс прибыльно, трейдер получает опыт только по своим убыточным сделкам. Эта система основана на дивергенции, вход в сделку осуществляется по сигналу и обзору старшего периода. Самое главное правило, входить при ярко выраженной дивергенции! посмотрим рисунок.....

На рисунке мы видим флэтовую ситуацию, после 2 убыточных сделок начинаем покрывать только убыток, на 3 сделке мы видим, что рисуется флэт. На 4 мы видим, что это точно флэт и нужно быть готовым, что скоро будет сильное движение, а что бы примерно понять в какую сторону оно произойдет нам нужно перейти выше тайм фрейм, смотрим рисунок

На старшем тайм фрейме очень хорошо видно, что рисуется перевернутое блюдце, совершенно очевидно, что цена пойдет вниз и нам нужно не пропустить его, смотрим рисунок

Появляется сигнал и мы продаем... мы уже понимаем, что вышли из флэта и можем немного подержать, закрыться по обратному сигналу. Это была самая плохая ситуация во флэте, теперь давайте посмотрим тренд

У меня есть правило, я никогда не продаю при восходящем тренде и стараюсь не доливать, если цена развернется, будет очень плохо. Но на рисунке я показал как можно, если очень хочется.... Может кто то насчитает больше пунктов, но я постарался смотреть реальней на график как буд то не знал что будет. Вот, тот же тренд на старшем тайме фрейме, рисунок ниже

Нужно всегда смотреть на период выше, а то можно наделать глупостей. У меня приколот листочек с правилами, что бы я о них не забывал и Вам советую сделать тоже самое. Это можно сказать основа стратегии, Вы можете воспользоваться ей, добавить свои индикаторы, изучать ее и придумать свои правила входа и выхода.
Скачать шаблон можно тут Торговые стратегии >>>
Что бы не быть голословным, а то скажете " Что ты нам на истории причесываешь а ? мы такое видали уже..." вот вам пример сделки на реальном счете, на реальные деньги

Рисовался сигнал на M5 перешел на M1 и продал, когда на M1 нарисовался хороший сигнал. Начинающим трейдерам не советую торговать на таких маленьких периодах, у Вас сожрет все деньги ДЦ со своими комиссиями. Дальше цена отвалилась смотрим рисунок ниже

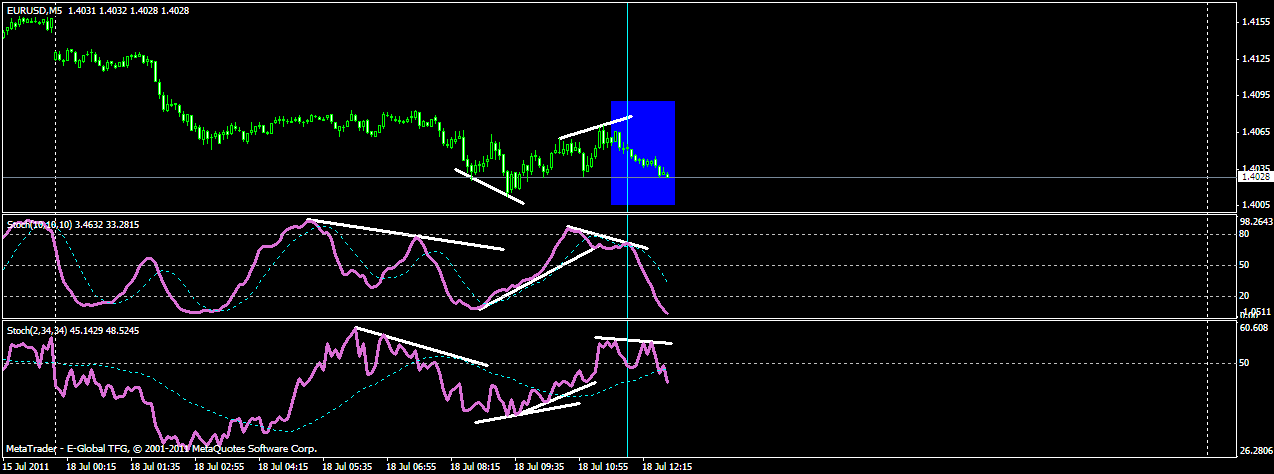
Видим, что цена находится по индикатору в зоне перепроданности, а это знак ! Нужно быть начеку! На периоде M1 рисовался обратный сигнал, значит продаем. В этоге, мы получаем ровно 30 пунктов. С выходом мы точно угадали (шучу мы не угадывали) появляется сигнал на покупку и мы покупаем.... смотрим рисунок ниже

Но тут ситуация еще интересней у нас сигнал на M5 и следом рисуется на M15 смотрим рисунок ниже

Так как, тренд нисходящий не будем жадинами и лучше продадим..... получаем 21 пунктов с этой сделки
Подведем итог:
Мы выждали хороший момент
Мы не жадничали
Мы действовали строго по плану
Заработали 51$
времени прошло 3 часа (примерно)
Пока я тут писал был хороший сигнал на продажу, получилось бы еще 16 пунктов и того, было бы 67$ ))))) вот рисунок ниже

Этот сигнал лучше потому, что тренд нисходящий и мы продаем.